当前位置:首页
 > 政务公开 > 政府部门 信息公开 > 县教育局 > 法定主动公开内容 > 招生政策
《2024年甘肃省普通高等学校招生考试和录取工作实施方案》20问


发布日期:2024-04-18 13:23 信息来源: 甘肃省教育厅 字号:[ ] 视力保护色:


1.《2024年甘肃省普通高等学校招生考试和录取工作实施方案》的制定背景是什么?

根据《国务院关于深化考试招生制度改革的实施意见》(国发〔2014〕35号)和《甘肃省深化高等学校考试招生综合改革实施方案》(甘政发〔2021〕66号)精神和教育部有关规定,甘肃省从2021年秋季入学的普通高中一年级学生开始,实行基于统一高考和高中学业水平考试成绩、参考综合素质评价的普通高校考试招生模式;2024年起,普通高校按照新的考试招生模式录取新生。针对高考综合改革在考试组织、志愿填报、招生录取等方面的变化,为确保2024年甘肃省高考综合改革平稳实施,特制定《2024年甘肃省普通高等学校招生考试和录取工作实施方案》。

2.2024年甘肃省普通高校招生考试和录取工作与往年相比有什么不同?

一是考试科目不同。改革前,甘肃省普通高校招生考试(以下简称“高考”)只有文史、理工两个科类,除语文、数学、外语三门课程文理科考生都要学习外,文史类考生只能学习历史、政治、地理三门课程,理工类考生只能学习物理、化学、生物三门课程。高考基于文、理分科,考试科目包括语文、数学、外语、文科综合/理科综合。改革后,高考在“3+1+2”的模式下组织考试招生,考生在学习语文、数学、外语三门统一高考科目的基础上,在首选科目物理、历史两门中任选一门后,可在剩余的思想政治、地理、化学、生物学四门课程中再任选两门课程学习。这样考生可根据个人爱好、兴趣、特长和拟报考学校专业招生要求以及高中学校办学条件等,在12种组合中自主选择学习,扩大了考生的选择面,增强了考生的学习动力,进一步完善了高中学校因材施教的软硬件建设,进一步提升了人才培养的基础教育能力。高考时基于“3+1+2”模式,考试科目包括语、数、外3门统一高考科目和在物理、历史2门科目中选择的1门首选科目以及在思想政治、地理、化学、生物学4门科目中选择的2门再选科目。

二是成绩构成不同。改革前,考生总成绩由语文、数学(文史类/理工类)、外语、综合(文科综合/理科综合)四个科目成绩构成,满分750分。改革后,考生总成绩由3门统一高考科目成绩和3门选择性考试科目成绩构成,满分750分。其中,统一高考科目语文、数学、外语使用原始成绩计入考生总成绩,每门满分150分;选择性考试首选科目(物理、历史2选1)使用原始成绩计入考生总成绩,每门满分100分;选择性考试再选科目(思想政治、地理、化学、生物学4选2)实行等级赋分转换后计入考生总成绩,每门满分100分。此外,改革前外语听力考试安排在高考前进行,成绩不计入考生总成绩,供招生院校录取时参考使用;改革后,外语听力考试安排在高考时外语笔试考试开始前进行,外语听力成绩计入考生总成绩。

三是目标导向不同。相比文理分科的两种学科组合方式,“3+1+2”模式不仅增加了学生的选择权,而且促进了文理交融,充分体现了以人为本、学其所好、考其所长的原则,更加符合教育发展规律和人才成长规律,为学生成长成才提供更多机会;既体现了物理、历史学科的基础性作用,突出了高校不同学科专业选才的要求,也更加注重学生的全面发展,提高学生的综合素质。

四是志愿设置不同。改革前,高考志愿以“院校”为单位进行设置,考生可选择填报1个院校代码下的所有专业,专业调剂在该院校代码下的所有专业内进行。改革后,高考志愿以“院校专业组”为单位进行设置,1个院校代码下设置若干专业组,考生可选择填报院校专业组内所有专业,专业调剂仅在该专业组内进行。

五是录取规则不同。改革前,普通类专业按照文史、理工两个科类分列招生计划、分别划线、分别投档录取。改革后,普通类专业按照物理、历史两个类别,分列招生计划、分别划线、分别投档录取。录取批(段)次进步精简,本科一批、二批合并,国家专项、地方专项等专项计划与普通类、民族班、民语类、预科、定向等在同一批次填报志愿、同一批次投档录取。

3.2024年高考考试时间如何安排?

考试时间安排在6月7日-6月10日。语文科目考试时长为150分钟,数学和外语(含听力)科目考试时长均为120分钟,外语听力考试(30分钟)安排在外语笔试考试开始前进行,选择性考试科目(以下简称“选考科目”)考试时长均为75分钟。考生3门统一高考科目和3门选考科目全部使用国家通用语言文字答卷。报考少数民族语言授课专业的考生还须参加相应民族语文科目全省统一考试,考试时长为150分钟。具体时间安排如下:

考试时间

上午

下午

6月7日

语文(9:00-11:30)

数学(15:00-17:00)

6月8日

物理 / 历史

(9:00-10:15)

外语(含听力)

(15:00-17:00)

6月9日

化学 (8:30-9:45)

地理(11:00-12:15)

思想政治(14:30-15:45)

生物学(17:00-18:15)

6月10日

民族语文(藏语文/蒙语文)

(9:00-11:30)

/

统一高考科目考试时间以教育部公布为准,如有调整,选考科目和民族语文科目的考试安排相应调整。

4.为什么再选科目思想政治、地理、化学、生物学考试成绩要实行等级赋分后计入考生总成绩?

2024年改革后,高考招生录取按照物理、历史两个类别分列招生计划、分别划线、分别投档录取,选择物理(历史)的考生将使用同一试卷,考试群体相同,成绩具有可比性,因此使用原始分计入考生总成绩。但由于再选科目思想政治、地理、化学、生物学试题难度差异和报考相应科目的考生群体不同,选考科目的原始分不具有可比性。例如:小明和小花两个同学首选科目都选择了物理,小明再选科目选择了化学和生物学,小花选择了化学和地理,如果小明的生物学考了90分,小花的地理考了85分,不能简单地说小明成绩比小花更好,因为这两个科目不同,试题难易程度可能不同,选考人数也可能不同,若简单将他们各科成绩相加计入考生总成绩并进行比较,既不科学也不公平。为了解决这个问题,就需要等级赋分,即需要将不同科目的原始分按照一定规则通过转换得到等级分(转换后考生选考科目成绩排队顺序与原始分排队顺序保持不变),以解决再选科目的原始分不具有可比性的问题,最大程度地保证高考的科学性和公正性。

5.等级赋分的规则是什么?

(1)等级赋分办法

再选科目每科原始分满分100分,转换时以30分作为等级转换的赋分起点,满分100分。将考生每门再选科目的原始成绩从高到低划定为A、B、C、D、E五个等级,各等级人数所占比例分别约为15%、35%、35%、13%和2%。转换时,将A至E等级内的考生原始成绩,依照等比例转换法则,分别转换到100-86分、85-71分、70-56分、55-41分、40-30分五个等级分数区间。根据转换公式计算,四舍五入取整得到考生的等级成绩。再选科目成绩计入高考总成绩的等级比例和赋分区间如下:

等级

A

B

C

D

E

比例

约15%

约35%

约35%

约13%

约2%

赋分区间

100-86

85-71

70-56

55-41

40-30

(2)等级赋分转换公式及计算举例

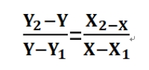
Y1、Y2分别表示某等级原始分数区间的下限和上限;X1、X2分别表示相应等级赋分区间的下限和上限;Y表示考生的原始成绩,X表示考生转换后的等级成绩。考生原始成绩正好为原始分数区间上限或下限时,不需要按转换公式计算,相应的赋分区间的上限或下限分数即为该考生的等级成绩。

举例说明:假如小王的地理科目原始成绩为85分,在当年全省参加该科目考试的考生中位于前2.5%,根据上表,该成绩位列A等级,该等级的赋分区间为100-86分。根据考生原始成绩的分布,可知A等级的原始分数区间(假设为99-83分),那么小王地理科目的赋分成绩(X)可通过如下公式计算:

由上可知,X≈88(四舍五入取整),此即小王的地理科目赋分成绩。

高考成绩公布时,考生查询到的再选科目成绩是等级赋分后的成绩,不需要考生自行转换。

6.2024年高考招生计划如何编制?

我省普通高校招生计划按照普通类、艺术类、体育类、中职升学四类分别编制,其中普通类按照首选科目物理、历史两个类别分别公布本科、高职(专科)层次各批(段)次招生计划。首选科目为物理的考生只能填报物理科目组合内符合选科要求的院校专业组,首选科目为历史的考生只能填报历史科目组合内符合选科要求的院校专业组。

艺术类、体育类、中职升学招生计划不区分物理类、历史类。使用统考成绩的艺术类专业按照美术与设计类、书法类、音乐类(音乐表演-声乐)、音乐类(音乐教育-声乐)、音乐类(音乐表演-器乐)、音乐类(音乐教育-器乐)、播音与主持类、舞蹈类、表(导)演类(戏剧影视表演)、表(导)演类(戏剧影视导演)、表(导)演类(服装表演)11个招考类型分别编制院校专业组计划。经批准组织校考的艺术类专业和使用省际联考成绩的戏曲类专业由院校根据专业设置情况编制招生计划。体育类按照田径类、足球排球篮球类、武术体操类3个招考类型分别编制院校专业组计划。中职升学按照农林牧渔类、医药卫生类、工业类、土木水利类、信息技术类、财经商贸类、旅游服务类、教育与文化艺术类8个招考类型分别编制院校专业组计划。

院校招生计划可设置1个或多个院校专业组,每个院校专业组内可包含数量不等的专业。同一院校选考科目要求相同的专业可以设在同一个院校专业组内,也可以分设在不同的院校专业组中,但每个院校专业组内各专业的选考科目要求必须相同。同一院校的不同计划类别、计划性质、招考类型的专业计划须按科目要求编制在不同的院校专业组内。院校在安排院校专业组时,原则上同专业组内各专业要求应相同。

7.如何理解“院校专业组”志愿模式?

“院校专业组”指的是某一高校对考生选考科目要求相同的专业的组合。一所高校可设置1个或多个院校专业组,每个院校专业组内可包含数量不等的专业。同一院校专业组内各专业对考生的选考科目要求相同,选考科目要求不同的专业必须分别设置院校专业组。当然,同一院校选考科目要求相同的专业也可分设在不同的院校专业组中。

例如:“A大学专业组4”选考科目要求首选科目为物理,再选科目不限,包括通信工程等若干专业;“A大学专业组5”选考科目要求首选科目为物理,再选科目为化学或生物学,包括临床医学等若干专业。如考生拟报考A大学通信工程和临床医学两个专业,则要占用两个志愿位置,同时填报“A大学专业组4”和“A大学专业组5”两个院校专业组志愿,并分别在两个院校专业组中填报通信工程、临床医学专业志愿。

8.2024年高考录取批次如何设置?

2024年我省普通高校招生普通类分别设置本科提前批、本科批、高职(专科)提前批、高职(专科)批四个批次,每个批次下各设置若干段次。艺术类、体育类(以下简称“艺体类”)分别设置本科提前批、本科批、高职(专科)批三个批次,每个批次下各设置若干段次。

(1)普通类

本科提前批(A段):包括军队、公安(武警)、司法、军队招飞、民航招飞、国家公费师范生、地方免费师范生、免费医学生、优师专项、强基计划、职教师资单招、消防单招、运动训练及民族传统体育单招、残障生单招、保送生、少年班、小学全科教师等招生计划;经批准同意的部分特殊招生院校的招生计划及部分院校的马克思主义理论、小语种、航海类等专业招生计划。

本科批(B段):高校专项、高水平运动队招生计划。

本科批(C段):包括普通类、定向、民族班、预科、民语及对等培养、中职升学、国家专项、地方专项、建档立卡专项(原精准扶贫专项)、革命老区专项、民族专项等招生计划。

高职(专科)提前批(D段):包括公安(武警)类、农村医疗专项计划、小学全科教师、残障生单招、高职综合评价录取等招生计划。

高职(专科)提前批(E段):定向招收军士招生计划。

高职(专科)批(F段):包括普通类、民语类、定向类、建档立卡专项(原精准扶贫专项)、民族专项、中职升学等招生计划。

(2)艺体类

本科提前批(G段):经批准同意组织艺术类专业校考或戏曲类专业省际联考的高校本科层次艺术类专业招生计划。

本科批(H段):使用统考成绩的所有本科层次艺体类专业招生计划。

高职(专科)批(I段):使用统考成绩的所有高职(专科)层次艺体类专业招生计划。

9.普通类为什么不再区分一本、二本?

《国务院关于深化考试招生制度改革的实施意见》明确提出要“创造条件逐步取消高校招生录取批次”。《甘肃省深化高等学校考试招生综合改革实施方案》也明确提出“自2024年起,合并本科一批、本科二批录取批次”,合并本科批次,体现了国家改革的总体方向,能够更好满足高校、考生及社会发展需要。

从高校的角度考虑。有利于更好地发挥高校办学主体作用,激励高校注重内涵发展,发挥自身优势,专注特色专业人才培养,进而提升高校办学水平和核心竞争力。

从考生的角度考虑。有利于进一步增加考生选择范围,引导考生结合个人志向、学科兴趣、个性特长,更理性地选择自己比较心仪的学校和专业,促进考生健康成才成长。

从高中的角度考虑。有利于高中学校破除盲目追求“一本升学率”,促进高中学校更好地立足校情,明确定位,创建校本特色。

从社会的角度考虑。有利于扭转简单用录取批次评价不同类型高校的片面导向,有利于促进高校毕业生平等就业,推动高等教育公平发展。

10.录取最低控制分数线是如何划定的?

根据各类别招生计划、考试成绩和考生报名等情况,分类别、分层次划定录取最低控制分数线。

普通类按照首选科目物理、历史两个类别分别划定本科层次、高职(专科)层次录取最低控制分数线。

艺体类不区分物理类、历史类,按照招考类型分别划定本科层次、高职(专科)层次文化课和专业课录取最低控制分数线。

中职升学类按照8个招考类型分别划定本科层次、高职(专科)层次录取最低控制分数线。

11.为什么要划定特殊类型招生录取分数线?

特殊类型招生录取分数线分别按照首选科目物理、历史两类本科招生计划数的一定比例划定,主要用于强基计划、高校专项计划等类型招生。军队院校、部分重点高校普通类院校专业组也可能要求录取最低分不低于特殊类型招生录取分数线。

12.2024年高考每个批(段)次可以填报多少个志愿?

普通类本科提前批(A段)、高职(专科)提前批(D段)实行“1+1”顺序志愿(1个第一院校专业组志愿和1个第二院校专业组志愿)投档,可以报2个志愿,每个院校专业组志愿设置6个专业选项和1个服从专业调剂选项。未完成招生计划实施1次征集志愿。

普通类本科批(B段)、艺体类本科提前批(G段)设置1个院校专业组志愿,设置6个专业选项和1个服从专业调剂选项,不征集志愿。

普通类本科批(C段)、高职(专科)提前批(E段)、高职(专科)批(F段)实行平行志愿投档,设置45个院校专业组志愿,每个院校专业组志愿设置6个专业选项和1个服从专业调剂选项。未完成招生计划实施2次征集志愿。

艺体类本科批(H段)、高职(专科)批(I段)实行平行志愿投档,设置30个院校专业组志愿,每个院校专业组志愿设置6个专业选项和1个服从专业调剂选项。未完成招生计划实施2次征集志愿。

13.2024年高考志愿设置、填报与改革前有什么不同?

一是志愿单位的变化。改革前以“院校”为志愿填报单位,1所院校即为1个志愿,按“1所院校+多个专业”的方式进行志愿填报,在院校内选择专业志愿和是否服从专业调剂。改革后以“院校专业组”为志愿填报单位,1个院校专业组即为1个志愿,按“院校专业组+专业(类)”的方式进行志愿填报,在“院校专业组”内选择专业志愿和是否服从专业调剂。

二是平行志愿数量的变化。改革前,实行平行志愿投档的批(段)次设置9个院校志愿。改革后,普通类本科批(C段)、高职(专科)提前批(E段)、高职(专科)批(F段)设置45个院校专业组平行志愿;艺体类本科批(H段)、高职(专科)批(I段)设置30个院校专业组平行志愿。总体来看,增加了平行志愿数量。征集志愿设置与相应批次志愿设置一致。

三是填报要求的变化。改革前,考生按照自己所报考的科类(理工类、文史类)填报相应的院校志愿。改革后,在填报志愿时,由于增加了院校选考科目要求,考生须按照院校专业组对应的选考科目要求填报。

14.志愿填报时,考生选考科目应如何对应高校招生专业选考范围要求?

2024年我省高校招生计划分别按物理类和历史类编制和公布。招生计划中包含了招生院校、院校所设院校专业组、院校专业组所涵盖的专业以及专业组对选考科目的要求等重要信息。考生填报志愿时,必须先了解拟报考院校的招生计划和选考科目要求等条件,再填报符合条件的院校专业组志愿。院校招生专业选考科目要求分为四类:

第一类:对首选科目和再选科目都未提出要求的,即“不提科目要求”,表示首选科目为物理或历史的考生均可报考,但该专业当年招生计划安排在物理类则只有首选科目为物理的考生才能报考;该专业当年招生计划安排在历史类则只有首选科目为历史类的考生才能报考。    

第二类:只对首选科目提出要求的,如“物理(1门科目考生必须选考方可报考)”,表示首选科目为物理、再选科目为任意2门的考生方可报考。

第三类:只对再选科目提出要求的,如“化学(1门科目考生必须选考方可报考)”,表示首选科目为物理或历史、再选科目选考化学的考生方可报考。但该专业当年招生计划安排在物理类则只有首选科目为物理且再选科目有化学的考生才能报考;该专业当年招生计划安排在历史类则只有首选科目为历史类且再选科目有化学的考生才能报考。

第四类:对首选科目和再选科目均提出选考要求的,如“物理、化学(2门科目考生均须选考方可报考)”,表示首选科目为物理、再选科目选考化学的考生方可报考;如“物理、化学、生物学(3门科目考生均须选考方可报考)”,表示首选科目为物理、再选科目选考化学和生物学的考生方可报考。

考生可报考的专业以普通高校当年在我省安排的招生计划为准。

15.不同类别的高校(专业)可以同时填报或兼报吗?

普通类、艺体类同时录取的批次不得兼报,考生只能选择其中一类进行填报,即艺体类本科各批次和普通类本科提前批只能选定一类填报;艺体类高职(专科)批和普通类高职(专科)提前批只能选定一类填报。中职升学类考生只能填报中职升学志愿。

高考成绩公布后除强基计划、运动训练及民族传统体育单招、残障生单招、保送生、高职综合评价录取等招生计划无须填报志愿外,其余院校招生计划均须考生填报志愿。

16.不同类别考生的投档成绩是如何构成的?

普通类按文化课成绩(含政策性照顾加分)从高到低进行投档;艺术类在文化课和专业课录取最低控制分数线上,按照文化课成绩和专业课成绩以一定比例换算后的综合排序成绩从高到低进行投档。除播音与主持类外,艺术类其他各招考类型综合排序成绩计算公式如下:

综合排序成绩=文化课总分(不含政策性照顾加分)×50%+专业课总分÷300×750×50% ,最终结果保留两位小数。

播音与主持类排序成绩计算公式如下:

综合排序成绩=文化课总分(不含政策性照顾加分)×70%+专业课总分÷300×750×30% ,最终结果保留两位小数。

体育类各招考类型平行志愿综合排序成绩为体育专业课成绩。

使用艺术类专业校考或戏曲类省际联考成绩录取的高校艺术类本科专业,将达到分数要求的考生志愿全部投档,由高校按照《招生章程》要求择优录取。

17.2024年我省高考投档录取方式有哪些?

2024年我省普通高校招生依据统一高考和高中学业水平考试选择性考试成绩,参考综合素质评价录取。综合素质评价的具体使用办法由招生高校在招生章程中予以明确。2024年,我省高考投档录取方式主要包括平行志愿和顺序志愿两种,实行平行志愿的批(段)次按照“分数优先、遵循志愿”的原则投档;实行顺序志愿的批(段)次按照“志愿优先,遵循分数”的原则投档。

18.院校专业组平行志愿如何投档?

院校专业组平行志愿投档是以院校专业组为基本投档单位,按照“分数优先、遵循志愿、一轮投档”的规则进行投档和录取。具体来说有三个步骤。

第一,按投档成绩将每个类别的考生从高到低排队。在对同一批(段)次的平行志愿进行投档时,每个类别都有一个队列,谁的投档成绩高,谁就排在某个队列的靠前位置。

第二,按每个队列的考生顺序,依次浏览不同考生的志愿。只有前面考生的档案去向明确后,系统才会浏览紧随其后那位考生的志愿。比如,小明和小花读的都是物理类(普通类),小明531分,小花530分,小明刚好排在小花的前面一位。投档时,系统先浏览小明的志愿,等小明的档案去向明确后,再浏览小花的志愿。

第三,具体到某一位考生的志愿,则按照该考生填报的院校专业组顺序依次浏览。系统投档时,先浏览你所填报的第1个院校专业组,如果这个院校专业组此时还有空余计划,说明它的招生计划还没有被排在你前面的所有考生“用”完,你的档案可以投进这个院校专业组;如果第1个院校专业组满员了,再查阅你的第2个院校专业组是否有空余计划,如有计划则投档,如没有计划则浏览你的第3个院校专业组,依此类推。如果系统浏览完你填报的最后一个院校专业组仍没有空余计划,表明你此次投档滑档,那么,就需要密切关注这个批次的征集志愿,或参加下一批次投档。

19.平行志愿投档的同分排序规则是怎样的?

(1)普通类实行平行志愿投档录取前,根据考生高考总成绩 (含政策性照顾加分)从高到低确定投档位序。高考总成绩(含政策性照顾加分)相同时,比较“3+1+2”考试科目总成绩(不含政策性照顾加分)高低,高者优先。“3+1+2”考试科目总成绩(不含政策性照顾加分)仍相同时,依次按考生语文数学两科之和、语文或数学单科最高成绩、外语单科成绩、首选科目单科成绩、再选科目单科最高成绩、再选科目单科次高成绩由高到低排序投档;如仍相同,比较考生志愿顺序,顺序在前者优先投档,志愿顺序相同则全部投档。

(2)艺体类实行平行志愿投档录取前,先根据艺体类考生综合排序成绩从高分到低分进行排序。当排序成绩相同时,首先比较文化课成绩(不含政策性照顾加分)高低,再按普通类同分排序规则依次比较,由高到低排序投档。

20.少数民族语言授课专业如何进行考试招生?

少数民族语言授课专业考试招生要求按照《甘肃省高等学校招生委员会关于印发<甘肃省高等学校少数民族语言授课专业考试招生实施办法>》(甘招委发〔2023〕11号)执行。具体来讲:

(1)2024年起,报考高等学校少数民族语言授课专业的考生,须首先参加“3+1+2”科目考试,同时须参加民族语文科目的全省统一考试。民族语文科目统一考试一般与当年统一高考同时进行,选考科目考试结束后进行民族语文科目考试。

(2)招生录取时单独划定最低控制分数线。在考生民族语文科目成绩合格的基础上,依据考生“3+1+2”统一高考成绩总分,按照相应招生计划总数的105%,划定最低录取控制分数线。省教育考试院依据“3+1+2”高考总成绩,按照“分数优先、遵循志愿”的平行志愿投档原则进行投档,并向相关高校提供民族语文科目考试成绩。招生院校按照提前公布的招生章程要求,参考普通高中学生综合素质评价进行录取。




[  打印本页  |  关闭窗口  ] 分享到:
责任编辑:岷县管理员